2021年上半年全国事业单位联考《职测》(A类)46

2022-01-01 00:00 编辑: 高顿公考 来源: 上岸鸭公考

【思路】

行程问题。本题题干和选项含有比例、倍数,不涉及具体的数值,可用赋值法求解。

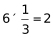
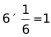
根据“跨栏、匍匐、独木桥路程比为3∶1∶2”,赋值跨栏、匍匐、独木桥路段的路程分别为3、1、2;根据题干可知匍匐爬行和通过独木桥的速度皆与跨栏的速度有关,则赋值跨栏速度为3和6的最小公倍数6,则匍匐爬行的速度为,通过独木桥的速度为。则通过独木桥的时间为,匍匐爬行的时间为,故通过独木桥的时间是匍匐时间的倍。


因此,答案为C。

职位搜索
立即查询
备考工具
CopyRight © 2006-2026 上岸鸭公考 www.gwy.com All Right Reserved