电话 400-600-8011

2020年宁夏822联考《行测》卷65

2020-12-01 00:00 编辑: 高顿公考 来源: 上岸鸭公考
电话 400-600-8011

【思路】

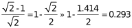
几何问题。如下图所示:边长AB=1米,切割掉一个半径1米、圆心角为直角的扇形DCB,只有当所切正方形为AMEN时,所得正方形最大。

AB=1EC=1米,则AC=,AE=米,故所切最大方形边长AM=米=29.3厘米,即不能超过29.3厘米,结合选项只能选C项。


因此,答案为C

职位搜索
立即查询
备考工具
CopyRight © 2006-2026 上岸鸭公考 www.gwy.com All Right Reserved
全国咨询热线:400-600-8011