2017年吉林省公务员考试《行测》(乙卷)57

2017-12-01 00:00 编辑: 高顿公考 来源: 上岸鸭公考

【思路】

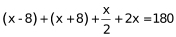
简单计算。本题描述中具有明确的等量关系,可用方程法求解。

设四个人的钱数相同为x,根据题意列方程:,解得x=40。则四个人原来的钱数分别为40-8=32、40+8=48、40÷2=20、2×40=80。其中只有两个人的钱数凑在一起正好为68,则这两个人是老二和老三。


因此,答案为A。

职位搜索
立即查询
备考工具
CopyRight © 2006-2026 上岸鸭公考 www.gwy.com All Right Reserved