2017年深圳市公务员考试《行测》真题卷53

2017-12-01 00:00 编辑: 高顿公考 来源: 上岸鸭公考

【思路】

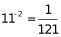
次方数列。观察数列各项数值,发现=1=,考虑次方数列发现:,即原数列可写为:故底数数列是公差为2的等差数列指数数列是公差为-1的等差数列,故所求项为


因此,答案为D

职位搜索
立即查询
备考工具
CopyRight © 2006-2026 上岸鸭公考 www.gwy.com All Right Reserved