2020年深圳市公务员考试《行测》真题卷(Ⅰ卷)57

2020-12-01 00:00 编辑: 高顿公考 来源: 上岸鸭公考

【思路】


行程问题。本题描述中具有明确的等量关系,则可用方程法求解。

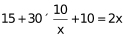
根据题干可知,返回时行进过程如图:

由图可知:老李返回的路程+小李驾车的路程=老李家到梧桐山的距离,设老李的骑行速度为x公里/小时,则老李家到梧桐山的距离为2x公里。由题意可知,老李从梧桐山返回时,小李已经驾车行驶了2+4-5.5=0.5小时,行驶了0.5×30=15公里。根据老李和小李的路程和为2x公里,可列式:,化简得:,代入A项,符合。


因此,答案为A

职位搜索
立即查询
备考工具
CopyRight © 2006-2026 上岸鸭公考 www.gwy.com All Right Reserved