电话 400-600-8011

2020年青海省822联考《行测》(B卷)73

2020-12-01 00:00 编辑: 高顿公考 来源: 上岸鸭公考
电话 400-600-8011

【思路】


排列组合问题。

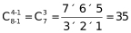
题干所问为“每个路口协管员的”分配方案,所以只需考虑每个路口分的人数即可,根据题意可知,将8个协管员分配给4个不同的路口,每个路口至少分1个,满足插板法原理,即8个人形成8-1个非两端的空,要求分成4组,则需插入4-1个隔板,有种。


因此,答案为A

职位搜索
立即查询
备考工具
CopyRight © 2006-2026 上岸鸭公考 www.gwy.com All Right Reserved
全国咨询热线:400-600-8011