电话 400-600-8011

2020年青海省822联考《行测》(B卷)68

2020-12-01 00:00 编辑: 高顿公考 来源: 上岸鸭公考
电话 400-600-8011

【思路】


简单计算。

方法一:本题存在明显的等量关系,可设未知数列方程求解。

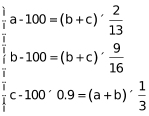
设开始时甲带了a元,乙带了b元,丙带了c元,根据题干可列方程组:,联立方程组,解得a=200b=370c=280甲、乙、丙三人开始时一共带了a+b+c=200+370+280=850元。

方法二:由题干均为比例,可考虑份数思想。根据选项均为整数可知,++丙)的总钱数为整数。

,则-100)为2份,(乙+丙)为13份,则(甲++-100)为15份,即三人总钱数减去10015的倍数,排除BC;由,则(乙-100)为9份,(+丙)为16份,则(甲++-100)为25份,即三人总钱数减去10025的倍数;由,则(丙-90)为1份,(+)为3份,则(甲++-90)为4份,即三人总钱数减去904的倍数,排除D项。


因此,答案为A

职位搜索
立即查询
备考工具
CopyRight © 2006-2026 上岸鸭公考 www.gwy.com All Right Reserved
全国咨询热线:400-600-8011