2020年青海省822联考《行测》(A卷)69

2020-12-01 00:00 编辑: 高顿公考 来源: 上岸鸭公考

【思路】


简单计算。

方法一:本题存在明显的等量关系,可设未知数列方程求解。

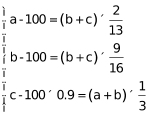
设开始时甲带了a元,乙带了b元,丙带了c元,根据题干可列方程组:,联立方程组,解得a=200,b=370,c=280。甲、乙、丙三人开始时一共带了a+b+c=200+370+280=850元。

方法二:由题干均为比例,可考虑份数思想。根据选项均为整数可知,甲+乙+丙)的总钱数为整数。

,则甲-100)为2份,(乙+丙)为13份,则(甲+乙+丙-100)为15份,即三人总钱数减去100是15的倍数,排除B、C项;由,则(乙-100)为9份,(+丙)为16份,则(甲+乙+丙-100)为25份,即三人总钱数减去100是25的倍数;由,则(丙-90)为1份,(+)为3份,则(甲+乙+丙-90)为4份,即三人总钱数减去90是4的倍数,排除D项。


因此,答案为A

职位搜索
立即查询
备考工具
CopyRight © 2006-2026 上岸鸭公考 www.gwy.com All Right Reserved