电话 400-600-8011

2021年山西省327联考《行测》卷62

2021-04-01 00:00 编辑: 高顿公考 来源: 上岸鸭公考
电话 400-600-8011

【思路】
概率问题。由题意知,最适合作为飞镖板即阴影部分所占面积比例约为60%,故分别求出四个选项阴影所占面积的比例即可:设圆的半径为r=1,3.14,,则

A项,圆的面积为=,,则阴影部分所占比重为

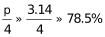
B项,,圆的面积为,则阴影部分所占比重为

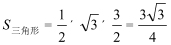
C项,,圆的面积为,则阴影部分所占比重为

D项,圆的面积为,正方形的面积为4,则阴影部分所占比重为


因此,答案为B。

职位搜索
立即查询
备考工具
CopyRight © 2006-2026 上岸鸭公考 www.gwy.com All Right Reserved
全国咨询热线:400-600-8011