【思路】
几何问题。
方法一:根据题干可知,原截面为△ABC,变化后的截面为△GBD,则增加的截面积=
。已知EF=8厘米,AG=3厘米,则AB=GB-AG=EF-AG=8-3=5厘米。因为△ABC∽△GBD,所以
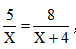
,设BC为X,则BD为X+4,所以
,解得X=
。所以
=26平方厘米。
因此,答案为A。
方法二:根据题干可知,原截面为△ABC,变化后的截面为△GBD,则增加的截面积为梯形ACDG的面积。因为△EFC≌△GBD,且△ABC为它们的公共部分,则只需要求出梯形ABFE的面积。已知EF=GB=8,AG=3,则AB=8-3=5,已知DB=CF,则BF=CD=4。梯形面积=
,代入数据可得,梯形ABFE的面积=
=
=26平方厘米。
因此,答案为A。
换一批