2019年安徽420联考《行测》卷27

2019-05-01 00:00 编辑: 高顿公考 来源: 上岸鸭公考

【思路】

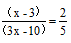
概率问题。本题已知变化球数前后摸到红球的概率,可据此列方程解题。设原来盒中有x个红球,根据原来摸到红球的概率为三分之一,可知原来盒中的总球数为3x。取出出3红7黄共10个小球后,剩下的总球数为(3x−10)个,剩下的红球数为(x−3)个。此时随机摸取一个小球,摸到红球的概率是,解得x=5,故原来盒中共有红球5个。

 

因此,答案为A。

职位搜索
立即查询
备考工具
CopyRight © 2006-2026 上岸鸭公考 www.gwy.com All Right Reserved