400-600-8011
400-600-8011
【思考】
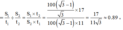
几何问题。如下图所示,学生站在O点,气球从A点开始升空。在△AOB中,∠BOA=30°,所以AB=
米。在△AOC中,∠COA=45°,所以AC=AO=100米。则第一段时间内气球的路程
。在△AOD中,∠AOD=60°,所以AD=
米。因此,第二段时间内气球的路程
。又路程=速度×时间,所以两段时间内平均速度之比

因此,答案为A。
换一批