电话 400-600-8011

2019年江西省公务员考试《行测》真题卷62

2019-12-01 00:00 编辑: 高顿公考 来源: 上岸鸭公考
电话 400-600-8011

【思路】

 最值问题。经济时速是指汽车最省油的行驶速度,即在某一速度下单位时间的耗油量最少。

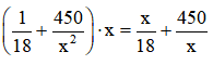
根据题意可知,行驶过程中每小时的耗油量=每公里耗油量×速度。故设该汽车每小时行驶x公里,则每小时的耗油量为。由均值不等式()知,乘积一定,和有最小值,当且仅当时上式取最小值,解得公里/小时。

 

因此,答案为B。

职位搜索
立即查询
备考工具
CopyRight © 2006-2026 上岸鸭公考 www.gwy.com All Right Reserved
全国咨询热线:400-600-8011