地方公务员
400-600-8011
上岸鸭公考
>
地方公务员
>
考试题库
>
行测题库
>
行测试题
>
2018年上海市公务员考试《行测》(A卷)59
2018-12-01 00:00
编辑: 高顿公考
来源:
上岸鸭公考
400-600-8011
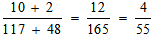
【思路】
分
数
数列。观察分子分母,优先构造单调性。将原数列转化为:
,观察分子构成公差为2的等差数列,分母作差得到:1
6
,2
4
,3
2
,4
0
构成公差为8的等差数列,则第六项为
。
因此,
答案为
C。
职位搜索
请选择年份
2023
立即查询
大家都在搜
换一批
判断推理
2018年吉林公
公务员考试行测青
2018年吉林公
公务员考试行测
河南省公务员考试
2018年吉林公
公务员考试真题
行测常识判断真题
行测言语理解与表
2020年河南省
江苏公务员考试
青海省公务员行测
2018年吉林公
江苏公务员考试
青海省公务员
行测数量关系真题
山东公务员考试
浙江公务员考试
北京公务员考试
2019年吉林公
公务员考试行测
山东公务员考试
河南省公务员考试
备考工具
相关搜索
热门搜索
2021年北京市公务员考试《行测》(区级卷)17
2021-12-01
2021年北京市公务员考试《行测》(区级卷)18
2021-12-01
2021年北京市公务员考试《行测》(区级卷)19
2021-12-01
2021年北京市公务员考试《行测》(区级卷)20
2021-12-01
2021年北京市公务员考试《行测》(区级卷)21
2021-12-01
2021年北京市公务员考试《行测》(区级卷)22
2021-12-01
2021年北京市公务员考试《行测》(区级卷)23
2021-12-01
2021年北京市公务员考试《行测》(区级卷)24
2021-12-01
2021年北京市公务员考试《行测》(区级卷)40
2021-12-01
2021年北京市公务员考试《行测》(区级卷)41
2021-12-01
2021年北京市公务员考试《行测》(区级卷)42
2021-12-01
2021年北京市公务员考试《行测》(区级卷)43
2021-12-01
2021年北京市公务员考试《行测》(区级卷)44
2021-12-01
2021年北京市公务员考试《行测》(区级卷)45
2021-12-01
2021年北京市公务员考试《行测》(区级卷)46
2021-12-01
2021年北京市公务员考试《行测》(区级卷)47
2021-12-01
2021年北京市公务员考试《行测》(区级卷)48
2021-12-01
2021年北京市公务员考试《行测》(区级卷)49
2021-12-01
2021年北京市公务员考试《行测》(区级卷)50
2021-12-01
2021年北京市公务员考试《行测》(区级卷)51
2021-12-01
2021年北京市公务员考试《行测》(区级卷)52
2021-12-01
2021年北京市公务员考试《行测》(区级卷)53
2021-12-01
2021年北京市公务员考试《行测》(区级卷)54
2021-12-01
2021年北京市公务员考试《行测》(区级卷)55
2021-12-01
2021年北京市公务员考试《行测》(区级卷)56
2021-12-01
2024黑龙江省考大纲
2023-07-14
2021省考最后一周,行测这样做提高做题速度!
2021-03-19
东北地区考公机构排名前十——上岸鸭公考值得选择!
2026-04-23
公考网课哪个教育机构好?上岸鸭公考提分利器!
2026-04-18
公考线上课程哪个好?上岸鸭公考课优势全解读!
2026-04-01
山东国考培训机构哪个好?上岸鸭公考更靠谱,附2027报名条件!
2026-03-20
公务员培训线上线下有区别吗?上岸鸭公考线上线下课程深度对比!
2026-03-10
哪个最合适?公务员面试培训机构排名前10
2026-01-29
省考怎么看自己的岗位报了多少人?一分钟了解
2025-06-23
省考只能考户籍所在地吗?户籍限制政策全面解析
2025-05-23
省考公告2025官网,汇总好了!
2025-05-22
省考公务员官网入口:http://www.apta.gov.cn
2025-05-13
省考是事业编还是公务员?属于公务员招录体系
2025-04-18
省考公务员报名入口官网在哪?http://rst.sc.gov.cn/
2025-04-15
省考是什么?考生须知道
2025-03-29
省考总分多少分?选调生须注意
2025-03-28
省考公务员职位表2025查询官网:https://www.dtdjzx.gov.cn/(不同省份不同)
2025-03-25
深圳公务员考试网:http://hrss.sz.gov.cn/szksy
2025-03-20
建议收藏!市场监督管理局公务员报考条件
2025-03-19
贵州公务员培训机构哪家好?学姐推荐这家!
2025-01-11
上岸鸭公务员培训怎么样?值得报名吗?
2024-12-30
国家公务员考试培训班哪个好?过来人给你推荐!
2024-12-30
公务员面试培训班大概多少钱啊?哪家机构值得推荐?
2024-12-30
高顿公务员培训班怎么样?过来人现身说法!
2024-12-30
高顿教育公务员培训怎么样?值得推荐吗?
2024-12-28
CopyRight © 2006-2026
上岸鸭公考
www.gwy.com All Right Reserved
全国咨询热线:400-600-8011
地方公务员
考试信息
考试公告
职位表
考试时间
报名入口
考试指导
报名人数
考试大纲
体检体测
成绩查询
面试信息
考试快讯
准考证打印
分数线
调剂职位
录用公示
资格复审
缴费确认
备考工具
备考指南
职位查询
考试题库
资料下载
400-600-8011
立即咨询