电话 400-600-8011

2015年425联考辽宁112

2015-05-01 00:00 编辑: 高顿公考 来源: 上岸鸭公考
电话 400-600-8011

【思路】

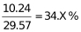
本题题干为“2012年,农村居民国内旅游人数占全国国内旅游人数的比例约为……”,结合文字材料可知本题考查现期比重。根据文字材料2012年,全国国内旅游人数29.57亿人次,比上年增长12.0%。其中,城镇居民19.33亿人次”,则农村居民国内旅游人数=29.57-19.33=10.24亿人次;结合公式:,则2012年,农村居民国内旅游人数占全国国内旅游人数的比例=,与C项最接近


因此,答案为C。

职位搜索
立即查询
备考工具
CopyRight © 2006-2026 上岸鸭公考 www.gwy.com All Right Reserved
全国咨询热线:400-600-8011