【思路】
本题题干为“2016年个人、文化和娱乐服务进口额占同期服务进口总额的比重约为”,结合材料和时间可知本题考查基期比重。
方法一:根据第一张表格可知2016年服务进口总额为30030亿元。根据第二张表格结合公式:
,可知2016年个人、文化和娱乐服务进口额=
。结合公式:
可知2016年个人、文化和娱乐服务进口额占同期服务进口总额的比重约为
÷30030
。
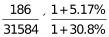
方法二:根据第一张表格可知2017年服务进口的金额和增速分别为31584亿元、5.17%。根据第二张表格可知2016年个人、文化和娱乐服务进口额和增速分别为186亿元、30.8%。结合公式:
,则2016年个人、文化和娱乐服务进口额占同期服务进口总额的比重=
0.45%。
因此,答案为C。
换一批