电话 400-600-8011

2020年深圳市公务员考试《行测》真题卷(Ⅰ卷)97

2020-12-01 00:00 编辑: 高顿公考 来源: 上岸鸭公考
电话 400-600-8011

【思路】


本题题干为“2018年,上表所列国家税收收入的税种中,按税收收入同比增速从高到低排序,正确的是”,方法一:结合材料数据可知本题考查增长率比较。根据材料,可知2017年及2018年选项各税种的税收收入。根据公式:,各税种的增长率如下:

国内增值税:

国内消费税:

关税:

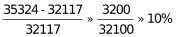
个人所得税:

企业所得税:

则按税收收入同比增速从高到低排序为:个人所得税>企业所得税>国内增值税>国内消费税>关税。

方法二:根据选项可知先比较企业和个人所得税大小,其中:

个人所得税:

企业所得税:,可知个人所得税>企业所得税,排除AC

再比较企业所得税与国内增值税大小,其中:

国内增值税:,则B项符合。


因此,答案为B

职位搜索
立即查询
备考工具
CopyRight © 2006-2026 上岸鸭公考 www.gwy.com All Right Reserved
全国咨询热线:400-600-8011