电话 400-600-8011

2021年湖北省327联考《行测》卷110

2021-04-01 00:00 编辑: 高顿公考 来源: 上岸鸭公考
电话 400-600-8011

【思路】
逐个分析选项

A:现期比重计算。根据公式:,通过文字材料第二段:“2019年共发展党员234.4万名,……发展学生84.4万名”,则2019年发展的党员人数中,学生党员占比为>>33%,正确,排除;

B:现期比重计算。根据公式:,由图1可知,截至2019年12月31日,55岁及以上党员人数为2657.7+745.1≈3400万名,则55岁以下党员人数=9191.6-3400=5791.6万名,所以55岁以下党员占党员总数的比=<65%,正确,排除;

C:现期比重计算。根据公式:,通过文字材料第一段可知,新中国成立前入党的17.4万名;由图1可知,截至2019年12月31日61岁以上党员人数为2657.7万名。而截至2019年12月31日,新中国成立前入党的人员都已满61岁。所以61岁及以上的党员人数中,新中国成立前入党的人数占比为<0.8%,正确,排除;

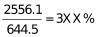
D:简单计算。通过文字材料第一段可知,在党员的职业上,工人(含工勤技能人员)644.5万名,农牧渔民2556.1万名,则从事农牧渔民职业的党员人数与工人(含工勤技能人员)党员人数之比=<400%,错误,当选。


因此,答案为D。

职位搜索
立即查询
备考工具
CopyRight © 2006-2026 上岸鸭公考 www.gwy.com All Right Reserved
全国咨询热线:400-600-8011