电话 400-600-8011

2021年河北省327联考《行测》卷117

2021-04-01 00:00 编辑: 高顿公考 来源: 上岸鸭公考
电话 400-600-8011

【思路】
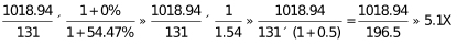
本题题干为“131家证券公司中,平均每家证券公司在2018年第一季度实现营业收入约为”,结合材料时间和数据,可知本题考查基期平均数计算。通过文字材料第一段可知,2019年第一季度,131家证券公司当期实现营业收入1018.94亿元,同比增长54.47%。根据公式:,则2018年一季度,平均每家证券公司实现营业收入=,与B项最接近。


因此,答案为B。

职位搜索
立即查询
备考工具
CopyRight © 2006-2026 上岸鸭公考 www.gwy.com All Right Reserved
全国咨询热线:400-600-8011