2021年上半年全国事业单位联考《职测》(A类)49

2022-01-01 00:00 编辑: 高顿公考 来源: 上岸鸭公考

【思路】

简单计算。

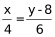
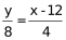
方法一:设女员工x人,男员工y人,根据“如果按每组6男4女进行分组,则男员工多出8人”,可列等式;根据“如果按8男4女进行分组,女员工又多出12人”,可列等式,联立方程,解x=64。

方法二:根据“如果按每组6男4女进行分组,则男员工多出8人”,可知女员工人数是4的倍数,排除A、B两项。根据“如果按8男4女进行分组,女员工又多出12人”,可知(女员工人数-12)是4的倍数,此时C、D两项都符合,代入验证:

假设女员工人数为64:如果按每组6男4女进行分组,则分组,可得男员工人数为16×6+8=104人;如果按8男4女进行分组,则分组,可得男员工人数为13×8=104人,故C项符合题意。

同理可验证D项不符合题意。


因此,答案为C。

职位搜索
立即查询
备考工具
CopyRight © 2006-2026 上岸鸭公考 www.gwy.com All Right Reserved