400-600-8011
400-600-8011
【思路】
简单计算。
第一步,分析题干。
题干中说,“除第五名外其余8人的分数成等差数列”那么求前两名的分数差即求该等差数列的公差。等差数列通项公式为:
其中,
是首项,n是项数,d是公差。
第二步,代入题干数据计算。
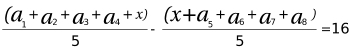
设第五名成绩为x,其余8人成绩从高到低依次是a1、a2、a3、a4、a5、a6、a7、a8,
由条件“前五名与后五名的平均分相差16分”可得:
,
即
而
,
那么公差d=80÷4÷4=5,即前两名的分差是5分。
因此,答案为D。
换一批