电话 400-600-8011

2019年黑龙江420联考《行测》(省直)卷66

2019-05-01 00:00 编辑: 高顿公考 来源: 上岸鸭公考
电话 400-600-8011

【思路】

概率问题。

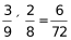
方法一:选到同一品牌单车包含三类情况:都选了有2辆车的品牌,都选了有3辆车的品牌,都选了有4辆车的品牌,概率分别为。分类用加法,则选到同一品牌单车的概率=

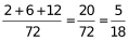
方法二:本题考查古典概率,公式:。从9辆中选2辆总的情况数为,符合条件的有三类情况:从有2辆车的品牌中选2辆情况数为从有3辆车的品牌中选2辆情况数为从有4辆车的品牌中选2辆情况数为种,则符合条件的情况数为1+3+6=10故P(选到同一品牌的车)=


因此,答案为C。

职位搜索
立即查询
备考工具
CopyRight © 2006-2026 上岸鸭公考 www.gwy.com All Right Reserved
全国咨询热线:400-600-8011