电话 400-600-8011

2020年四川725联考《行测》卷48

2020-08-01 00:00 编辑: 高顿公考 来源: 上岸鸭公考
电话 400-600-8011

【思路】

概率问题。第一步,设甲箱子有X件商品,乙箱子有Y件商品,根据题意可列方程,化简方程可得X=4Y。可知甲箱子的商品数是乙箱子的4倍。


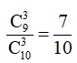
第二步,运用赋值法,设乙箱子有10件商品,则甲箱子有40件。由于乙箱子的次品率为10%,则乙箱子共有1件次品,9件正品。从乙中随机拿出三件均不是次品的概率为

 

因此,答案为A。

职位搜索
立即查询
备考工具
CopyRight © 2006-2026 上岸鸭公考 www.gwy.com All Right Reserved
全国咨询热线:400-600-8011